LAC Med Berhad IPO's Analysis

LAC Med Berhad

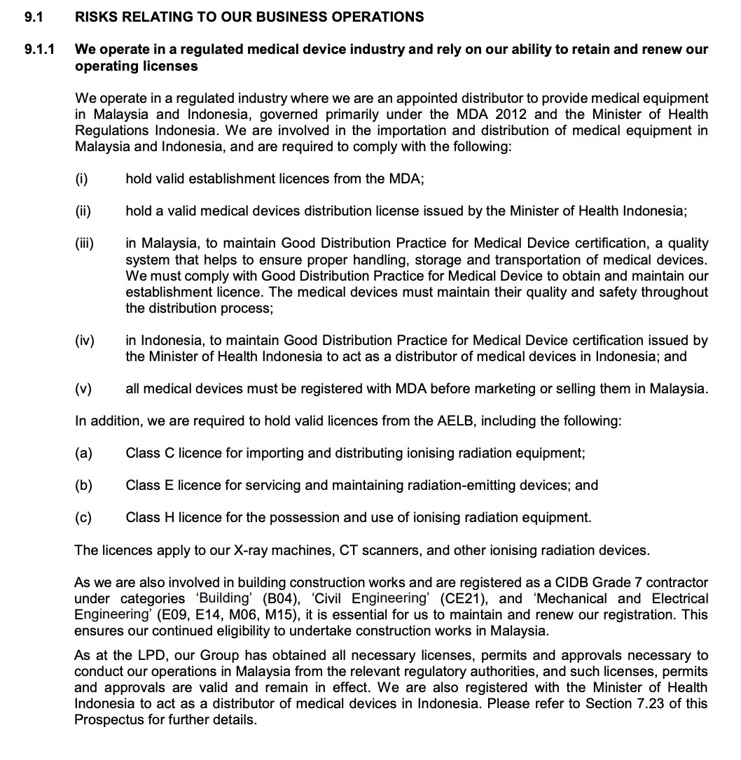
LAC Med Berhad, through its subsidiaries, specialises in the supply and integration of medical devices in Malaysia and Indonesia. The Group is an authorised distributor for third-party brands of medical devices, including medical equipment primarily used for diagnostic purposes, and associated products like medical consumables. It also provides software and system integration services. A key part of its business involves the provision of ICT products and services tailored for healthcare facilities. The company was incorporated in Malaysia in November 2024 and has since expanded its operations regionally with the establishment of PT Fairmed in Indonesia.

IPO Details
Market: Main
Principal Adviser: RHB Investment Bank Berhad
Issuing House: AscendServ
Shariah Status: SC (Yes)
Listing Price: 0.75
PE Ratio: 14.7-15.9
    PE (FYE): 14.7
    PE (FPE Annualised): 15.2
    PE (Hybrid): 15.86
MITI allocation?: Yes
Closing Date: 25-Nov-2025
Balloting Date: 01-Dec-2025
Listing Date: 10-Dec-2025
Oversubscription rate: 12.64x
Average Analysts FV :
TA (0.83), Tradeview (0.94), Mplus (1.02)
iSaham IPO Score :
Market Cap: 300.00 M
Number of Shares: 400.00 M
IPO Allocations No. of Shares %
Malaysian Public 20.00 M 5.0%
Bumiputera shareholders approved by MITI 50.00 M 12.5%
Eligible Directors and employees 4.197 M 1.05%
Private placement to selected investors and others 30.0 M 7.5%
Total Allocations 104.20 M 26.05%

Offer for Sales of 30.00 M existing shares representing 7.5% enlarged shares.

Public Issue of 74.20 M new shares representing 18.55% enlarged shares.

Median Sectors PE: N/A
Median Peers PE:
Strategic Overview & Data Visuals
Pro Insight Image 0
Pro Insight Image 1
Pro Insight Image 2
Pro Insight Image 3
Pro Insight Image 4
Pro Insight Image 5
Pro Insight Image 6
Pro Insight Image 7
Pro Insight Image 8
Pro Insight Image 9
Pro Insight Image 10
Pro Insight Image 11
Pro Insight Image 12
Pro Insight Image 13
Pro Insight Image 14
Pro Insight Image 15
Pro Insight Image 16
Pro Insight Image 17
Pro Insight Image 18
Pro Insight Image 19
Pro Insight Image 20
Pro Insight Image 21
Pro Insight Image 22
Pro Insight Image 23
Pro Insight Image 24
Pro Insight Image 25
Pro Insight Image 26
Pro Insight Image 27
Pro Insight Image 28
Pro Insight Image 29
Pro Insight Image 30
Pro Insight Image 31
Pro Insight Image 32
Pro Insight Image 33
Pro Insight Image 34
Pro Insight Image 35
Pro Insight Image 36
Pro Insight Image 37
Pro Insight Image 38
Pro Insight Image 39
Pro Insight Image 40
Pro Insight Image 41
Pro Insight Image 42
Pro Insight Image 43
Pro Insight Image 44
Pro Insight Image 45
Pro Insight Image 46
Pro Insight Image 47
Pro Insight Image 48
Pro Insight Image 0
Pro Insight Image 1
Pro Insight Image 2
Pro Insight Image 3
Pro Insight Image 4
Pro Insight Image 5
Pro Insight Image 6
Pro Insight Image 7
Pro Insight Image 8
Pro Insight Image 9
Pro Insight Image 10
Pro Insight Image 11
Pro Insight Image 12
Pro Insight Image 13
Pro Insight Image 14
Pro Insight Image 15
Pro Insight Image 16
Pro Insight Image 17
Pro Insight Image 18
Pro Insight Image 19
Pro Insight Image 20
Pro Insight Image 21
Pro Insight Image 22
Pro Insight Image 23
Pro Insight Image 24
Pro Insight Image 25
Pro Insight Image 26
Pro Insight Image 27
Pro Insight Image 28
Pro Insight Image 29
Pro Insight Image 30
Pro Insight Image 31
Pro Insight Image 32
Pro Insight Image 33
Pro Insight Image 34
Pro Insight Image 35
Pro Insight Image 36
Pro Insight Image 37
Pro Insight Image 38
Pro Insight Image 39
Pro Insight Image 40
Pro Insight Image 41
Pro Insight Image 42
Pro Insight Image 43
Pro Insight Image 44
Pro Insight Image 45
Pro Insight Image 46
Pro Insight Image 47
Pro Insight Image 48
Utilisation of Proceeds
Purpose Amount (RM'000) %
Expansion Setting up new head office and warehouse 12,000 21.6
Expansion Expansion of Indonesian business 8,000 14.4
Expansion Establishment of EaaS and MEAMS segments 8,000 14.4
Working capital Working capital 6,148 11
Listing expenses Estimated listing expenses 5,500 9.9
Debt Repayment of bank borrowings 16,000 28.7
Total 55,648 100
Analyst Highlights
Date Analyst Highlights
25-Nov-2025
Mplus
  • We project the Group's earnings to grow by 18.2%/25.1%/6.5% on the back of: (i) Healthy adoption rate through the introduction of its EaaS and SaaS offerings, as well as expanding brand portfolio as well as contributions from the Indonesia expansion plan.
24-Nov-2025
TradeView
  • Innovative EaaS and SaaS subscription models driving recurring revenue and stable cash flow.
  • Regional expansion into Indonesia, anchored by exclusive distributorships and branch roll-out, adding geographic diversification.
21-Nov-2025
TA
  • Leading provider of medical devices in Malaysia since 2003, with strong market recognition and strategic partnerships with global brands.
  • A large installed base of over 2,500 medical equipment units enables expansion into predictive and preventive maintenance services, boosting recurring income.
  • Expanding into Equipment-as-a-Service (EaaS), asset management (MEAMS), and the Indonesian market to capitalize on healthcare demand.
Utilisation of Proceeds
Business Segments
Major Customers
Revenue by Financial Year Ended
Profit After Tax (PAT) by Financial Year Ended
Revenue by Financial Period Ended
Profit After Tax (PAT) by Financial Period Ended
SWOT Analysis
Strengths
  • Complex Integration Experts: Unlike peers who mostly sell "loose" units, LAC Med specializes in the difficult renovation and construction work required for heavy MRI/CT scanners, making them indispensable to hospitals.
  • Top-Tier Brand Rights: They hold authorized distributorships for Philips and Samsung, giving them immediate credibility and access to best-in-class technology that UMC (Life Support focus) and BCMALL (Mixed focus) cannot offer in the exact same configuration.
  • Unlimited Construction Capacity: With a CIDB Grade G7 license, LAC Med can bid for massive hospital renovation projects directly, capturing the profit margin on both the machinery and the construction work. In contrast, peers like BCMALL (without G7) likely cannot bid for the full infrastructure package, forcing them to outsource construction and split the project profits with third-party contractors.
Weaknesses
  • Zero Manufacturing IP: Unlike UMC (which manufactures its own HydroX brand), LAC Med is a pure middleman. This results in lower profit margins (~11%) compared to UMC (~16.7%) and no ownership of intellectual property.
  • Lumpy Project Revenue: Their current income depends on winning large, one-off construction tenders. If no new hospitals are built in a specific quarter, revenue drops, unlike UMC’s steady flow of consumables.
Opportunities
  • Indonesia Market Expansion: Securing exclusive rights for Alpinion in Indonesia allows them to finally break their "Malaysia-only" ceiling and tap into a population of 284 million, a volume growth story BCMALL does not have.
  • Recurring Revenue Shift: The launch of EaaS (Equipment-as-a-Service) and MEAMS (Asset Management Software) allows them to transition from "one-off sales" to "monthly subscriptions," stabilizing their cash flow.
  • Displacing Weaker Rivals: With BCMALL suffering negative margins (-5.9%) and distracted by non-medical segments, LAC Med is well-positioned to aggressively capture their market share in the domestic diagnostic imaging space.
  • Infrastructure Capex Boom: As government and private hospitals upgrade "heavy" infrastructure (Imaging Centers), LAC Med’s expertise in construction/integration makes them the preferred partner over "box-shifting" distributors.
Threats
  • Territorial Growth Ceiling: Lacking proprietary products means they cannot scale globally like UMC; their maximum growth is strictly capped by the number of hospitals built in their specific licensed territories (Malaysia & Indonesia).
  • Budget Cut Sensitivity: Selling massive capital equipment (MRI/CT) makes LAC Med more vulnerable to hospital budget cuts compared to UMC, which sells essential, lower-cost daily use items like patient monitors.
  • Distribution Margin Squeeze: Without a manufacturing buffer like UMC, LAC Med is fully exposed to price hikes from principals (Philips/Samsung); they cannot offset rising costs by selling high-margin own-brand goods.
Key Highlights

Sorry, this feature only available for iSaham Pro

Conclusion

Sorry, this feature only available for iSaham Pro

LAC Med Berhad's Latest News