Blog ini telah dikemaskinikan pada 9 Februari 2026.
Bursa Anywhere adalah tool yang sangat membantu untuk anda yang melabur di pasaran Bursa Malaysia. Dibangunkan oleh Bursa Malaysia sendiri, aplikasi Bursa Anywhere telah menjalani beberapa kemaskini sejak pengeluaran Mei 2019. Kini, ia membolehkan anda untuk aktifkan semula akaun CDS tak aktif atau yang sudah dorman.
Dengan pelancaran ciri baru ini, sesiapa yang nak aktifkan semula akaun CDS mereka tak perlu berurusan dengan pihak broker secara fizikal. Semuanya boleh diselesaikan dari telefon sendiri dari aplikasi Bursa Anywhere. Maka semakin mudahlah urusan pemegang akaun, dan di samping itu juga dapat mengurangkan pergerakan di kala pandemik COVID-19 ni merebak di luar sana.
Status akaun CDS
Akaun anda akan menjadi tidak aktif atau dorman sekiranya tiada sebarang transaksi dalam tempoh 36 bulan atau 3 tahun daripada tarikh transaksi terakhir dilakukan.
Tidak aktif: Terdapat sekuriti dalam akaun. Tiada bayaran dikenakan untuk mengaktifkan akaun.
Dorman: Tiada sebarang sekuriti dalam akaun. Saham IPO yang diterima melalui allotment tidak dikira. Bayaran sebanyak RM5.40 akan dikenakan untuk mengaktifkan akaun.
Rujukan lanjut di laman web Bursa:
1. Pengaktifan akaun tidak aktif
Menyemak status akaun anda
Mungkin ada di antara anda yang terfikir bagaimana nak buat semakan akaun. Maklumlah, dah lama tak trade, dah tak tahu sama ada tak aktif atau dorman atau tidak. Mudah sahaja caranya. Boleh semak dalam aplikasi Bursa Anywhere.
Jika masih aktif, status Active akan dipaparkan. Jika dorman, status Dormant akan dipaparkan dan jika tidak aktif, status Inactive akan dipaparkan.
Cara pengaktifan semula akaun
1. Secara Online: Bursa Anywhere
Muat turun Bursa Anywhere sekiranya anda belum berbuat demikian. Aplikasi ini sangat memudahkan untuk urusan yang berkaitan dengan akaun CDS.

Anda cuma perlu log masuk, pergi ke tab My Services di bahagian bawah skrin, dan pilih Reactivate CDS Account. Seterusnya, ikut sahaja langkah yang digariskan. Caj sebanyak RM 5.40 akan dikenakan.
Perkhidmatan yang ditawarkan Bursa Anywhere
Bursa Anywhere adalah aplikasi yang dikeluarkan oleh Bursa Malaysia sendiri. Maka aplikasi ini membolehkan anda mengendalikan pelbagai urusan yang berkaitan dengan CDS. Antara perkhidmatan yang ditawarkan melalui Bursa Anywhere:
- Pindah saham antara akaun via FPX
- Pandangan keseluruhan semua akaun CDS
- Nilai portfolio saham
- Kemas kini maklumat CDS secara layan diri
- Notifikasi Pengumuman Korporat untuk portfolio saham
- ePenyata dengan rekod 12 bulan
Update semasa 10 Disember 2025

Jika anda adalah pengguna baru dan baru nak mendaftar, mesej seperti di atas akan dipaparkan. Ini kerana anda perlu mengemaskini country code nombor telefon terlebih dahulu.
Cara Mengemaskini Country Code
1. Hantarkan e-mel kepada pihak Mplus, support@mplusonline.com.my
|
Subject: Request to Update Country Code Full name: NRIC number: Registered mobile number: Registered e-mail address: Reason: Request to update the mobile number by adding the country code due to login issue in Bursa Anywhere app. |
Nota penting: Pastikan nombor telefon ini adalah nombor yang didaftarkan pada akaun CDS Mplus. Jika berbeza, anda perlu kemaskini nombor telefon dalam akaun. Boleh hubungi team iSaham Support untuk bantuan kemaskini.
2. Anda akan menerima e-mel seperti di bawah jika kemaskini Country Code berjaya dilakukan.

3. Selepas itu, boleh mendaftar akaun Bursa Anywhere dan log masuk ke akaun ini.
4. Untuk aktifkan, boleh ikuti langkah di bawah:
Klik My Services > Reactivate CDS Account
2. Secara Manual: Pos Borang ke Broker
Pilihan lain yang boleh dilakukan adalah secara manual iaitu melengkapkan borang pengaktifan dan menghantarkan kepada pihak Mplus secara kurier. Anda tidak perlu hadir ke pejabat Mplus untuk proses penghantaran borang ini.
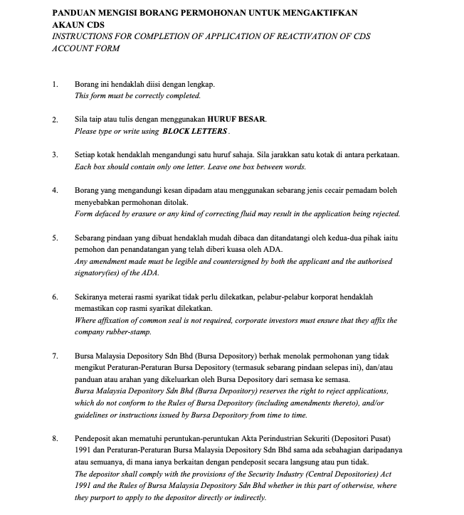
1. Muat turun borang permohonan pengaktifan akaun CDS dan cetak borang tersebut.

2. Isikan semua maklumat dengan betul seperti di bawah.
i. Tandakan X pada kotak berkenaan
ii. Nombor akaun CDS Mplus. Pastikan nombor yang ditulis adalah betul. Untuk semakan nombor akaun CDS Mplus, anda boleh rujuk blog, Macam Mana Nak Cari Nombor Akaun CDS?
iii. Nombor kad pengenalan lama (jika ada)
iv. Nombor kad pengenalan baru
v. Nama pendeposit iaitu nama anda seperti dalam kad pengenalan
vi. Turunkan tandatangan pada borang secara fizikal. Tandatangan digital tidak dibenarkan.
Nota penting:
i. Tidak perlu maklumat akaun kelayakan jika akaun anda adalah akaun individu.
ii. Maklumat tarikh tidak perlu diisikan.
3. Pastikan maklumat yang dilengkapkan mengikut panduan yang diberikan di bawah.

4. Selepas selesai, anda perlu pos borang tersebut bersama 1 salinan kad pengenalan ke broker dan membuat bayaran sebanyak RM5.40.
Untuk pembayaran ini, ia boleh dibuat melalui bayaran tunai atau ditolak daripada akaun dagangan anda.
Jika ingin ditolak daripada akaun dagangan, pastikan anda mempunyai jumlah Trust atau Total Cash yang mencukupi dalam akaun ini. Jika tidak, boleh sertakan bayaran tunai semasa hantarkan borang pengaktifan.
Bagi pengguna akaun CDS Mplus, tidak perlu walk-in dan boleh poskan ke alamat berikut:
Malacca Securities Sdn Bhd (KL Eco City),
BO1-A-13A, Level 13A, Menara 2,
No.3, Jalan Bangsar,
KL Eco City, Bangsar,
59200 Kuala Lumpur.
No Telefon: 603 2201 2100
Jadi itulah 2 cara mengaktifkan semula akaun CDS anda, sama ada melalui aplikasi Bursa Anywhere ataupun menghantar borang pengaktifan kepada pihak broker.